Valores de referencia de aminoácidos, acilcarnitinas y succinilacetona por espectrometría de masas en tándem para su uso en el tamizaje neonatal en el suroccidente de Colombia

Translated title (en): Reference values of amino acids, acylcarnitines and succinylacetone by tandem mass spectrometry for use in newborn screening in southwest Colombia

Resumen

Introducción:

Los Errores Innatos del metabolismo (EIM) representan un importante problema de salud pública debido a limitaciones en el tratamiento y diagnóstico oportuno, la pobre calidad de vida de los pacientes afectados, así como la muerte infantil prematura. Comparada con los métodos clásicos, la espectrometría de masas en tándem (MS/MS) ha permitido la evaluación simultánea de múltiples metabolitos asociados con EIM, con una alta sensibilidad, baja proporción de falsos positivos y alto rendimiento.

Objetivos:

Determinar los niveles de concentración de aminoácidos y acilcarnitinas en sangre de recién nacidos de Colombia, para establecer los valores normales para usarlos como referencia en el diagnóstico de EIM.

Métodos:

Aquí, se describe la implementación de un método para determinar aminoácidos, acilcarnitinas y succinilacetona en gotas de sangre seca de recién nacidos usando MS/MS, y su aplicación en un estudio de corte transversal realizado en 891 neonatos sanos de las ciudades de Cali y Quibdó.

Resultados:

Se evaluaron 57 analitos que permiten el diagnóstico de más de 40 patologías diferentes. El método mostró ser lineal, preciso y exacto. Se incluyeron neonatos sanos de 1-18 días de edad, 523 de Cali y 368 de Quibdó, 52% hombres y 48% mujeres. Se observaron diferencias en los niveles de concentración de aminoácidos y acilcarnitinas relacionadas con la edad, mientras que no se encontraron diferencias significativas por sexo.

Conclusión:

El estudio ha contribuido a revelar los niveles usuales de concentración de aminoácidos, acilcarnitinas y succinilacetona que pueden ser usados como referencia para el establecimiento del programa de tamizaje neonatal metabólico en Colombia.


Abstract

Introduction:

Inborn errors of metabolism (IEM) represent an important public health problem due to current diagnosis and treatment limitations, poor life quality of affected patients, and consequent untimely child death. In contrast to classical methods, tandem mass spectrometry (MS/MS) has allowed simultaneous evaluation of multiple metabolites associated with IEM offering higher sensitivity, low false positive rates and high throughput.

Aims:

Determine concentration levels for amino acids and acylcarnitines in blood of newborns from Colombia, to establish reference values for further use in diagnosis of IEM.

Methods:

Implementation of a method to determine amino acids, acylcarnitines and succinylacetone in newborn dried blood spots using MS/MS, and its application in a cross-sectional study conducted in 891 healthy neonates from Cali and Quibdo cities is described.

Results:

fifty-seven analytes that allow the diagnosis of more than 40 different pathologies were tested. The method showed to be linear, precise and accurate. Healthy neonates 1-18 days of age were included, 523 from Cali and 368 from Quibdo; 52% male and 48% female. Age-related differences on the concentration levels of amino acids and acylcarnitines were observed whereas no significant differences by gender were found.

Conclusion:

The study has contributed to reveal the usual concentration levels of amino acids, acylcarnitines and succinylacetone that could be used as reference for the establishment of a newborn metabolic screening program in Colombia.


Introducción

Los errores innatos del metabolismo (EIM) son parte del grupo de las llamadas "enfermedades raras, olvidadas o huérfanas" que por fortuna afectan a muy pocas personas en el mundo. La incidencia puede estimarse en una persona por cada 2,000 habitantes para las enfermedades más comunes, pero en algunos casos puede ser tan baja como uno por cada 10,000 o más habitantes, lo que hace que estas enfermedades sean poco conocidas, estudiadas y tratadas, y como consecuencia desatendidas 1,2. Se estima que los EIM podrían afectar entre el 6-8% de la población mundial, sin embargo, los datos varían de un país a otro y en algunos como Colombia no hay datos disponibles debido a la falta de estudios epidemiológicos y las restricciones para un diagnóstico preciso.

Los EIM son enfermedades crónicas graves y degenerativas, con manifestaciones clínicas dolorosas e incapacitantes que van desde cuadros clínicos inadvertidos o que se confunden con otras enfermedades, con diversos grados de retraso mental y discapacidad física 3. Estas enfermedades pueden causar la muerte a una edad temprana, lo que crea una carga familiar y social considerable. El mayor problema con estas enfermedades es el diagnóstico tardío (5-10 años) o erróneo debido a la falta de laboratorios especializados que realizan exámenes precisos, lo que conduce a un retraso o falta de tratamiento. El diagnóstico precoz y el tratamiento adecuado y oportuno de estas enfermedades permiten a los pacientes llevar una vida casi normal, reduciendo las secuelas o al menos reduciendo sustancialmente los daños en los órganos.

La espectrometría de masas en tándem (MS/MS) es una tecnología que permite la detección e identificación simultánea de múltiples analitos con alta sensibilidad, exactitud y precisión, con alta especificidad. Basándose en estas propiedades, se ha incorporado la MS/MS como una herramienta de diagnóstico para el tamizaje de EIM 4 en un sistema de capaz de detectar más de 50 analitos diferentes 5. Millington et al 6,7 fue el primero en desarrollar el método de análisis y posteriormente diferentes grupos trabajaron en optimizarlo y aplicarlo al tamizaje metabólico en neonatos 8,9 incluyendo la adición de succinilacetona (SUAC), como un marcador específico para la tirosinemia tipo I (Tyr I) 10,11, la MS/MS actualmente reemplaza las técnicas de tamizaje tradicionales que analizan biomarcadores individuales para cada enfermedad. En la actualidad, la MS/MS se utiliza para tamizaje neonatal en países desarrollados como Estados Unidos, Canadá, Alemania y España 12-15, y en países de América Latina como México, Brasil y Costa Rica 16-18. En Colombia no existe suficiente conciencia sobre este tema, lo que conduce a una falta de claridad en cuanto a las políticas de salud pública para su manejo 19. Actualmente, sólo el hipotiroidismo congénito está incluido en la lista de enfermedades obligatorias para el tamizaje, sin embargo, se sabe que aún la prueba no se realiza en muchas de las regiones del país.

Debido a la necesidad urgente de un método altamente sensible para el diagnóstico y el tamizaje eficiente de los EIM en Colombia, este estudio se enfoca en el establecimiento de valores de concentración de aminoácidos (AAs), acilcarnitinas (ACs) y succinilacetona (SUAC) normales en una muestra colombiana de recién nacidos utilizando como tecnología la MS/MS.

Materiales y Métodos

Sujetos

Un total de 891 recién nacidos sanos de Cali (n = 523, departamento del Valle del Cauca) y Quibdó (n = 368, departamento de Chocó) fueron reclutados entre agosto de 2012 y julio de 2015 e incluidos en el estudio. Las muestras de sangre fueron colectadas por punción en talón e impregnadas en papel de filtro (filtro Whatman nº903, GE Healthcare, Westborough, EE.UU.), luego se dejaron secar durante 24 horas a temperatura ambiente y posteriormente fueron almacenadas a 4º C hasta su uso, siguiendo las guías del Instituto de Normas Clínicas y de Laboratorio (CLSI) 20. Las muestras sobrantes fueron almacenadas y congeladas a -20º C con desecante.

Este ensayo se realizó de acuerdo con las Directrices para Buenas Prácticas Clínicas de la ICH E-6 y el protocolo fue aprobado por los comités de ética del Centro Internacional de Vacunas- CIV (CECIV de Cali, acto 005), Clínica Versalles (Cali) y el Hospital San Francisco de Asís (Quibdó). Se obtuvo el consentimiento informado por escrito (CI) de la madre de cada recién nacido al momento de la inscripción al estudio.

Criterios de Inclusión

Todos los niños incluidos en el estudio cumplieron con todos los criterios de inclusión para asegurar que no sufrían ningún trastorno o enfermedad. Los recién nacidos sanos de ambos sexos debían cumplir criterios como tener pesos entre 2,500 y 4,000 g, edades gestacionales entre 37 a 42 semanas, puntuación APGAR mayor de 7 a los 10 min y edad entre 2 y 18 días de nacidos.

Materiales

Estándares de AAs y AC marcados isotópicamente fueron adquiridos en Cambridge Isotope Laboratories, Inc .; la sal de sulfato de hidrazina y acetonitrilo de grado HPLC en Sigma-Aldrich, SUAC de HT Brink, del Hospital Universitario de Ámsterdam, el ácido fórmico y HCl 3 N n-butanol de Fluka. El papel de filtro 903 Protein Saver usado para muestras de muestras de sangre se compró a Whatman. Los controles basales, de baja, media y alta concentración en sangre fueron proporcionados por el Programa de Aseguramiento de Calidad de tamizaje neonatal (NSQAP) del Centro de Control y Prevención de Enfermedades (CDC) (Lote 1421-1424; 1462-1464). Las muestras de sangre secas se analizaron usando cromatografía líquida de alta eficacia (HPLC) (Shimadzu Scientific Instruments, Columbia, MD) acoplada a un espectrómetro de masas en Tandem 3200 QTRAP (AB Sciex).

Preparación de la muestra

Discos de sangre seca (DSS) se perforaron a un diámetro de 3.2 mm, y cada uno se dispuso en un pozo de una placa de poliestireno de 96, a los cuales se adicionaron 120 µL de solución de trabajo preparada diariamente que contenía: acetonitrilo:agua (80:20 v/v), 0.08% de ácido fórmico, 3.6 mol/L de hidrato de hidracina y los estándar internos de AAs, ACs y SUAC. La placa fue sellada con microfilm autoadhesivo (Fisherbrand No 08-408-240) y agitada a 600 rpm a 45° C durante 45 min.

Los extractos fueron transferidos a una nueva placa de poliestireno de 96 pozos y fueron secados bajo atmosfera de N2 a temperatura ambiente por aproximadamente 25 min a 40° C. Después se adicionaron 50 µL de metanol y los pozos de nuevo se secaron durante 10 min. Las muestras fueron reconstituidas en 60 µL de n-butanol 3N HCl e incubadas a 65° C ±5° C por 20 min. La mezcla resultante se secó nuevamente durante 20 min, y los residuos fueron finalmente reconstituidos en 150 µL de fase móvil (acetonitrilo:agua 50:50 con 0.025% de ácido fórmico), la placa fue cubierta con papel aluminio, agitada por 10 min a temperatura ambiente, y centrifugada durante 4 min a 500 rpm antes de ser puesta en la bandeja del automuestreador para el análisis por MS/MS.

Análisis por MS/MS

Un espectrómetro de masas en tándem con analizadores en triple cuadrupolo lineal, operado en modo ión-positivo fue usado para el análisis de AAs, ACs y SUAC. Las muestras se analizaron usando como fase móvil acetonitrilo:agua 50:50 con 0.025% de ácido fórmico en modo isocrático, a un flujo de 70 µL/min en una corrida de 3 min por muestra usando una bomba binaria HPLC (Shimadzu Scientific Instruments, Columbia, MD).

El análisis fue realizado usando tres experimentos diferentes por corrida: 1. Perdida neutra de m/z 102 (rango de scan m/z: 130/280) para la detección de AAs, 2. Precursor iónico de m/z 85 (rango del scan 200-550) para ACs, y 3. Modo de reacción múltiple (MRM) para SUAC (m/z 211 → 137) y los AA con baja sensibilidad como la Arg (m/z 231 → 70), Gly (m/z 132 → 76), Leu (m/z 188 → 86), Met (m/z 206 → 104), Ser (m/z 162 → 60), His (m/z 156 → 110), OH-Pro (m/z 188 → 68), Thr (m/z 176 → 74) Ornitine (m/z 189 → 70) y Citruline (m/z 232 → 113). El software Analyst 1.5.2 (BioSciex) fue usado para la adquisición de los datos, y los programas Chemoview y Neoscreen fueron usados para el análisis de los datos. La cuantificación de los analitos de interés se realizó calculando la abundancia de iones de cada compuesto puro en relación con los estándares internos marcados isotópicamente (IS).

Linealidad y límite de detección

La linealidad del método para AAs, ACs y SUAC se estimó por duplicado mediante el análisis de los controles en DSS del CDC, a cuatro concentraciones diferentes entre 3.7 y 746.7 µmol/L para AAs, 0.1 y 52.8 µmol/L para ACs y 0.3 y 11.1 µmol/L para SUAC y a un intervalo de confianza (IC) del 95%. El límite de detección (LOD) se evaluó utilizando una linealización de los tres niveles de concentración inferior para cada analito, teniendo en cuenta el ruido de base como indicador de la sensibilidad del instrumento.

Precisión y exactitud

Tanto la repetibilidad como la precisión intermedia del ensayo para AAs, ACs y SUAC se estimaron a dos niveles de concentración (baja y media) de los controles en DSS del CDC. La repetibilidad se determinó por duplicado en cinco repeticiones, mientras que la precisión intermedia fue determinada por duplicado durante tres días y dos analistas diferentes. La precisión fue denotada como el coeficiente de variación (CV <20%) y valores de Cochran (<0.555) para la repetibilidad y reproducibilidad respectivamente.

La precisión del ensayo se determinó utilizando los controles en DSS del CDC a cuatro niveles de concentración (Lot: 1321-24 para AA y Lot: 1361-64 para AC) en tres series de corridas. La precisión se denominó como el error relativo (%RE), y debía estar dentro de ±20% RE para ser aceptado 21.

Análisis estadístico

Los datos se procesaron con R-project de Bell Laboratories (antes AT&T, ahora Lucent Technologies). Los resultados se expresan como coeficientes de correlación (R2) para la linealidad, valor crítico de la distribución F (análisis ANOVA) para el análisis de los valores de varianza, CV y Cochran para la precisión y porcentaje de recuperación para la exactitud. Se utilizó la prueba de Shapiro-Wilk para comprobar la normalidad; sin embargo, no hubo pruebas suficientes para decir que los datos se distribuyeran normalmente. Las comparaciones entre grupos por sexo y lugar del estudio se determinaron mediante la prueba U Mann Whitney y las correlaciones entre la edad y concentración de los analitos se determinaron usando la prueba de Spearman. Un valor de p ≤0.05 se consideró significativo.

Resultados

Validación del método

La linealidad del método se determinó utilizando cuatro niveles de concentraciones. Los coeficientes de regresión lineal (R²) para AAs, ACs y SUAC fueron >0.96 para todos los analitos (Tabla 1). Los rangos de linealidad se encontraban dentro de los rangos establecidos por el CDC. El análisis de varianza para la regresión mediante la prueba ANOVA mostró valores críticos de la distribución F muy inferiores al 5% para todos los analitos (Tabla 1).


Tabla 1. Validación del método.
Analito *LOD (µmol/L) Rango lineal (µmol/L) Linealidad ANOVA Precisión Exactitud
**R2 Valores críticosF ¶CV Cochran §% ER
≥0.95 <5% ≤ 20% 0.555 80 - 120%
Phe 0.10 71.8 - 325.4 0.998 3.399E-05 8.17 0.43 83.24
XLeu 1.43 116.0 - 445.7 0.966 2.681E-03 10.39 0.245 91.06
Met 4.97 11.4 - 214.2 0.980 1.236E-03 14.65 0.309 96.59
Tyr 0.33 49.7 - 489.4 0.993 2.567E-04 6.18 0.356 98.63
Val 2.27 121.4 - 428.6 0.991 3.389E-04 6.7 0.534 92.47
Cit 0.35 26.3 - 232.7 0.999 3.050E-07 4.78 0.455 109.94
Ala 1.50 292.8 - 625.5 0.978 1.374E-03 6.17 0.25 105.2
Arg 0.89 10 - 266.1 0.995 1.358E-04 5.9 0.484 84.34
SUAC 0.12 1.4 - 8.98 0.995 1.318E-04 6.78 0.374 104.79
Carnitine libre (C0) 0.04 25.9 - 79 0.971 2.104E-03 9.28 0.277 92.58
Acetil (C2) 0.08 12.9 - 39.4 0.939 6.500E-03 10.95 0.22 83.78
Propionil (C3) 0.14 1.3 - 12.4 0.999 8.953E-06 8.63 0.384 114.48
Butiril (C4) 0.09 0.2 - 4.4 0.992 3.003E-04 13.19 0.297 94.55
Isovaleril (C5) 0.01 0.1 - 2.4 0.999 7.922E-06 5.07 0.544 105.48
Glutaril (C5DC) 0.15 0.5 - 1.8 0.997 6.015E-05 13.64 0.336 88.96
3-OH-valeril (C5OH) 0.01 0.5 - 3.4 0.964 2.975E-03 5.05 0.304 79.77
Hexanoil (C6) 0.01 0.0 - 2.2 0.999 2.258E-06 8.82 0.554 113.21
Octanoil (C8) 0.06 0.0 - 2.3 0.983 9.102E-04 2.8 0.353 116.59
Decanoil (C10) 0.03 0.0 - 2.5 0.981 1.165E-03 7.37 0.332 113.11
Dodecanoil (C12) 0.01 0.0 - 2.1 0.991 3.672E-04 12.37 0.366 100.13
Myristoil (C14) 0.01 0.1 - 2.6 0.997 6.014E-05 12.66 0.467 107.1
Palmitoil (C16) 3.47* 0.9 - 9.2 0.958 3.752E-03 8.14 0.33 113.3
Hydroxy-Palmitoil (C16OH) 2.83* 0.0 - 0.9 0.995 1.664E-04 8.17 0.43 175.4
Estearoil (C18) 4.58* 0.6 - 5.7 0.996 9.952E-05 10.39 0.245 91.06
OH-Estearoil (C18OH) 3.75* 0.0 - 1.4 0.987 6.520E-04 14.65 0.309 96.59
*LOD: Límite de detección
**R2: Coeficiente de correlación
†F: Valor crítico de distribución F
¶CV: Coeficiente de variación
§%ER: Error relativo

La exactitud del método se determinó mediante el análisis de muestras que contenían cantidades conocidas de cada analito en controles en DSS del CDC. Los datos de precisión obtenidos estuvieron en el rango de 83.2 a 109.9% para AAs, de 80.0 a 116.6% para ACs y 104.8% para SUAC (Tabla 1). Los LODs obtenidos para AA, AC y SUAC también se resumen en la Tabla 1, mostrando la detección más baja para fenilalanina (Phe) (0.1 µmol/L) y para la 3-hidroxipalmitoil-carnitina (C16OH) (2.83 nmol/L).

Concentraciones de AAs, ACs y SUAC en la población de estudio

Se incluyeron en este estudio un total de 891 neonatos sanos de entre 1 y 18 días de nacidos, 463 (52%) hombres y 428 (48%) mujeres. De ellos, 313 recién nacidos tenían entre 1 y 2 días, 257 entre 3 y 8 días y 321 entre 9 y 18 días. Las muestras en DSS se usaron para determinar los 25 analitos validados, y que forman parte de los controles de calidad entregados por el CDC, adicionalmente, se analizaron otros 32 analitos para completar un total de 57, de los cuales 17 eran AAs, 37 ACs y SUAC, que permiten identificar 50 patologías diferentes. Los marcadores específicos se seleccionaron de acuerdo con la información obtenida a partir de la página de mejoramiento de calidad de laboratorios de tamizaje neonatal de Region 4 22 y que fueron transferidos desde el Hospital Clínico Universitario, Santiago de Compostela, España al Centro Internacional de Vacunas, Cali.

En general, los AAs (n= 8, Tabla 2) tenían concentraciones medias que oscilaban entre 15 y 247 µmol/L. De ellos, xLeu (media 247 µmol/L), Ala (192 µmol/L) y Val (128 µmol/L) fueron los AAs más abundantes, mientras que Citrulina (15 µmol/L) y Arg (20 µmol/L) presentaron las concentraciones más bajas. Por otra parte, las ACs con cadenas más cortas fueron las más concentradas, mientras que las de cadenas más largas fueron las menos abundantes. Se observaron las concentraciones más altas para la carnitina libre (32 µmol/L) y acetil carnitina (23 µmol/L), mientras que la hidroxiestearoil carnitina (C18-OH) (0.07 µmol/L) fue la menos abundante. La Palmitoyl carnitina (C16) fue la de mayor concentración entre las ACs de cadenas largas (Tabla 2).


Tabla 2. Valores de concentración de referencia para concentración de aminoácidos (AAs), acilcarnitinas (ACs).
Analito Media (µmol/L) DS *P1 **P99
Phe 44.27 11.78 23.92 78.94
XLeu 246.72 121.16 72.61 536.72
Met 35.50 19.71 11.00 101.91
Tyr 96.27 34.72 37.03 201.25
Val 128.42 32.10 59.18 204.00
Cit 14.95 4.56 7.81 27.52
Ala 192.01 53.86 91.43 348.82
Arg 19.94 11.48 4.40 52.07
C0 32.39 13.71 13.63 78.74
C2 22.69 8.62 9.02 54.31
C3 1.24 0.73 0.23 4.05
C4 0.22 0.15 0.07 0.64
C5 0.24 0.09 0.09 0.59
C5DC 0.12 0.07 0.03 0.36
C5OH 0.22 0.09 0.10 0.55
C6 0.16 0.09 0.04 0.51
C8 0.16 0.08 0.05 0.43
C10 0.17 0.09 0.05 0.45
C12 0.27 0.16 0.08 0.81
C14 0.32 0.15 0.10 0.84
C16 2.48 1.19 0.72 6.17
C16OH 0.1 0.06 0,02 0,27
C18 0.83 0.36 0.30 2.00
C18OH 0.07 0.05 0.02 0.26
DS: Desviación estándar
*Percentile 1: límite de aceptación inferior
**Percentile 99: límite de aceptación superior

Distribución por edad y sexo

Se compararon las concentraciones normales de AAs y ACs con respecto a factores como la edad y el sexo. Los datos no mostraron una distribución normal cuando fueron evaluados usando la prueba de normalidad de Shapiro-Wilk, por lo que se utilizaron pruebas no paramétricas para verificar las diferencias entre concentraciones de AAs y ACs con respecto a los diferentes factores.

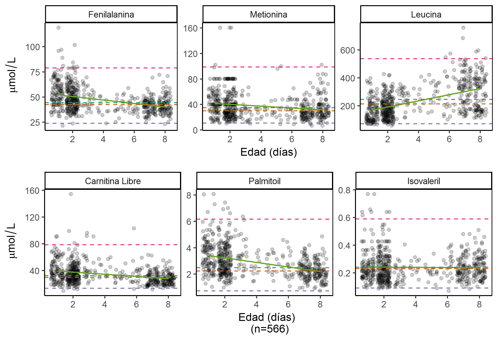
La concentración de analitos tuvo una correlación significativa, con un rho que osciló entre 0.02 y 0.52 para las relaciones positivas y -0.06 y -0.39 para las relaciones negativas (Tabla 3). Para los AAs, sólo la fenilalanina y la metionina tuvieron una correlación negativa (Fig. 1A), mientras que para los ACs, en todos los casos excepto el Isovaleril (C5, rho=0.02) la correlación entre la concentración y la edad fue negativa (rho <0) (Fig. 1B, Tabla 3), indicando que la concentración de estos analitos disminuye ligeramente con la edad, mientras que aumenta con la edad para el isovaleril y la mayoría de los AAs.


Tabla 3. Análisis estadístico por edad (Correlación de Spearman) y sexo (Prueba de Mann Whitney U).
Analito Correlación de Spearman Niña Niño Prueba de Mann Whitney U
rho valor p Mediana (µmol/L) IQR* Mediana (µmol/L) IQR1 valor p
Phe -0.38 9.30E-21 42.34 36.14-49.44 42.21 36.09-49.43 0.842
XLeu 0.49 5.05E-35 216.36 149.29-335.02 213.10 149.91-347.67 0.677
Met -0.21 8.99E-07 30.42 21.25-43.53 28.83 21.5-40.04 0.633
Tyr 0.46 6.78E-31 93.84 72.67-115.06 92.17 71.08-115.74 0.467
Val 0.50 2.10E-37 127.77 106.77-150.94 128.84 105.28-147.00 0.535
Cit 0.05 2.03E-01 14.06 12.02-17.00 14.30 12.12-16.89 0.955
Ala 0.30 1.69E-13 190.78 155.77-229.23 183.80 155-217.67 0.139
Arg 0.52 2.24E-40 16.94 9.73-26.00 18.83 10.83-29.60 0.018
C0 -0.29 1.45E-12 28.34 22.24-36.87 30.92 24.46-38.66 0.004
C2 -0.28 1.90E-11 21.03 17.30-26.59 20.95 17.18-25.61 0.484
C3 -0.12 4.96E-03 1.04 0.78-1.44 1.10 0.82-1.48 0.133
C4 -0.10 1.81E-02 0.20 0.15-0.27 0.20 0.15-0.26 0.798
C5 0.02 6.19E-01 0.23 0.17-0.28 0.23 0.18-0.28 0.945
C5DC -0.32 4.95E-14 0.10 0.06-0.14 0.10 0.07-0.15 0.107
C5OH -0.10 1.29E-02 0.20 0.16-0.26 0.21 0.16-0.26 0.252
C6 -0.31 1.26E-13 0.14 0.10-0.18 0.14 0.10-0.20 0.573
C8 -0.31 2.32E-13 0.14 0.10-0.19 0.14 0.11-0.20 0.251
C10 -0.35 1.10E-17 0.15 0.10-0.20 0.15 0.11-0.21 0.086
C12 -0.38 1.57E-20 0.22 0.15-0.32 0.23 0.16-0.34 0.557
C14 -0.31 1.99E-14 0.28 0.21-0.37 0.31 0.22-0.39 0.024
C16 -0.39 2.23E-22 2.22 1.61-3.06 2.25 1.70-3.12 0.310
C16OH -0.36 3.95E-17 0.08 0.05-0.13 0.08 0.06-0.12 0.560
C18 -0.36 3.97E-19 0.75 0.56-0.99 0.75 0.59-1.00 0.727
C18OH -0.28 2.16E-10 0.06 0.04-0.09 0.06 0.04-0.09 0.938
*IQR es el rango entre el percentil 25 y 75

Figura 1

Diagramas de dispersión para algunos AAs. A. Aminoácidos (fenilalanina, metionina y leucina) y B. carnitina de cadena corta (carnitina libre e isovalerilcarnitina) y carnitina de cadena larga (palmitoilcarnitina) por edad. Se resaltan la media, mediana, los percentiles 1º y 99º y la regresión lineal. Cada analito tiene una escala diferente, todos ellos medidos en µmol/L.

1657-9534-cm-48-03-00090-gf3.jpg

Cuando se hicieron comparaciones por sexo, la arginina fue el único aminoácido que mostró diferencias significativas (p= 0.018, mayor concentración en los hombres), mientras que en el caso de los AC, la carnitina libre y la miristoil carnitina también presentaron diferencias significativas con concentraciones más altas en los hombres, con valores p de 0.004 y 0.024, respectivamente (Fig. 2, Tabla 3).

Figura 2

Diagramas de caja y bigotes por sexo para la arginina, la carnitina libre y la miristoilcarnitina. Las cajas corresponden al percentil 25 y 75 y la línea horizontal es la concentración media del analito.

1657-9534-cm-48-03-00090-gf4.jpg

Discusión

Aquí reportamos una metodología para evaluar simultáneamente 57 analitos relacionados con AAs, ACs y SUACs, asociados con más de 40 EIMs utilizando la MS/MS a partir de DSS recolectada de recién nacidos de Colombia. Esta metodología permitió determinar los valores normales de concentración de estos analitos en una población étnicamente diversa de 891 recién nacidos. Basado en la tasa nacional de natalidad (663,908 nacimientos/año) 23, este tamaño de muestra representa una población estadísticamente significativa para el establecimiento de valores normales de los metabolitos analizados y cumple con las guías del Instituto de Normas Clínicas y de Laboratorio (CLSI) 24.

Se observó que el método mostró una correlación lineal en una amplia gama de concentraciones, así como límites de detección bajos cuando se evaluaron muestras de sangre enriquecidas con los analitos de estudio preparados en DSS (controles de calidad del CDC), y posteriormente mezclados con estándares internos marcados isotópicamente. En general, no se observaron problemas mayores en la toma y manejo de las muestras, en menos del 10% de las muestras se presentaron problemas de calidad de los DSS, secado insuficiente o retrasos en tiempo de entrega. Los parámetros de validación establecidos mostraron una gran precisión y exactitud, que se evidencia en los CVs y los porcentajes de recuperación que se encuentran dentro de los valores aceptados internacionalmente para métodos bioanalíticos 21.

Las variables utilizadas en la regresión para cada analito fueron estadísticamente significativas con valores críticos de la distribución F <5% (prueba ANOVA), demostrando por lo tanto que el modelo implementado fue adecuado. Las concentraciones calculadas a partir de las muestras de recién nacidos mostraron los límites más altos para AAs y más bajos para ACs y SUAC, lo que se correlaciona con una mayor ingesta de proteínas durante la alimentación del lactante.

Cuando se comparan los percentiles 1 y 99 con los reportados por Región 4 genetics para estos metabolitos, se observan valores en rangos similares para la mayoría de ellos usando una población mucho más pequeña. Algunas carnitinas, entre ellas la Hidroxi-octadecanoilcarnitina (C18), mostraron percentiles más altos (99) en comparación con los reportados por otros laboratorios, lo que podría representar un problema debidos al posible aumento de falsos negativos al superponerse entre el corte superior de lactantes sanos y el corte inferior en lactantes enfermos.

Aunque las concentraciones medias de ACs estuvieron en un rango bajo de 0.07 -32.4 µmol/L, éstas estuvieron siempre por encima de su LOD, lo cual es importante para la identificación de pacientes con algunos trastornos metabólicos 25. Los perfiles de acilcarnitina en DSS de recién nacidos se caracterizaron, en la mayoría de los casos, por una disminución en la concentración a medida que el niño crecía, acorde con datos reportados en estudios previos 26.

En el caso de la isovaleril carnitina, que mostró un ligero aumento de la concentración con la edad, podría atribuirse su variabilidad a factores externos como el uso de antibióticos o la hemólisis relacionada con la ictericia. La edad debe considerarse como un factor importante en la determinación de los valores de concentración de referencia, teniendo en cuenta las dificultades relacionadas con el diagnóstico en los lactantes de más edad debido a la disminución de las concentraciones de ACs. Los valores de corte más bajos para estos analitos en niños mayores podrían conducir a una dificultad en el diagnóstico de trastornos metabólicos que muestren deficiencia de carnitina.

No se encontraron diferencias significativas entre niños y niñas para la mayoría de los metabolitos, excepto en el caso de la arginina, la carnitina libre y la miristoilcarnitina, que mostraron una mayor concentración para los neonatos hombres, estos resultados se correlacionan con estudios previamente reportados para las carnitinas 27,28.

Se observaron diferencias significativas entre las concentraciones en DSS de los analitos cuando se compararon los resultados entre Cali y Quibdó (datos no mostrados). Sin embargo, también hubo diferencias en la edad media de los recién nacido captados en las dos poblaciones, mientras que los recién nacidos de Cali tenían una media de 9 días (rango: 4-18 días), los recién nacidos de Quibdó tenía una edad media de 2 días (rango: 1-7 días) de nacidos. Se sabe que la edad, las terapias farmacológicas, la nutrición parenteral, las transfusiones y el tipo de alimentación pueden influir potencialmente en los resultados. Estas diferencias se tuvieron en cuenta al establecer los valores límite.

El uso de MS/MS para la detección de EIM en recién nacidos ofrece algunas ventajas como la sensibilidad analítica, selectividad y precisión, con la posibilidad de medir varios analitos en un solo análisis con una tasa de interferencias relativamente baja 29. La mayoría de las limitaciones del método que se presenta aquí, están relacionadas con la calidad de los DSS, la toma de muestras de sangre, los efectos cromatográficos y volumétricos, la estabilidad del analito y los efectos de hematocrito 30, que en la mayoría de los casos, puede resolverse mediante la estricta adherencia a las guías clínicas y de laboratorio 20.

Se ha sugerido que la integridad de las muestras de sangre seca en papel de filtro puede verse comprometida en un corto periodo de tiempo por la humedad y la temperatura a la que son expuestas durante el transporte de las muestras, se puede presentar una degradación significativa de los AA y AC en las muestras de sangre a alta temperatura (45° C) y humedad (>70%), particularmente en el primer día de almacenamiento 31. Por lo tanto, se deben controlar las condiciones de transporte y almacenamiento de las muestras. Por otra parte, la mayoría de metabolitos utilizados para la evaluación EIM en el recién nacido dependen del hematocrito y de la posición de corte en el disco 32,33. Aunque los niveles de hematocrito en neonatos son significativamente variables (45-60%), en la mayoría de los casos las concentraciones de metabolitos exceden inequívocamente sus respectivos niveles de corte y el hematocrito y/o la localización del disco no afectan significativamente el diagnóstico. Sin embargo, es importante aclarar que dentro de la metodología de nuestro estudio, no se midió el hematocrito antes de las pruebas metabólicas.

En conclusión, este es el primer reporte de análisis de los metabolitos característicos para el diagnóstico de EIM por MS/MS en Colombia, tal como se realiza en los países desarrollados. Actualmente, las pruebas bioquímicas y las herramientas analíticas que se utilizan en Colombia no tienen suficiente sensibilidad y especificidad en comparación con la MS/MS. Además, las técnicas como la cromatografía de gases y los métodos enzimáticos y colorimétricos utilizan protocolos complejos con un tratamiento prolongado de las muestras y se restringen a un número limitado de analitos asociados con unas pocas enfermedades. La aplicación de tecnología avanzada, como el análisis automatizado de MS/MS con ionización en electrospray, permite la detección de más de 40 EIM con una reducción significativa del tiempo de análisis (2-3 min).

Los datos reportados aquí representan una contribución significativa para establecer los niveles normales de concentración de AAs, ACs y SUACs para ser usados como referencia para la implementación de un programa de tamizaje metabólico de recién nacidos en Colombia basado en la tecnología MS/MS, que permita definir la prevalencia nacional de estas EIM.

References

1 

Hernández DC. Tamizaje neonatal por espectrometría de masas en tándem actualización. Rev Panam Salud Publica. 2010;27(4):309–317

2 

van Karnebeek CD, Stockler-Ipsiroglu S. Early identification of treatable inborn errors of metabolism in children with intellectual disability The Treatable Intellectual Disability Endeavor protocol in British Columbia. Paediatr Child Health. 2014;19(9):469–471

3 

Cifuentes Y, Bermúdez M, Arteaga C. Neonathal encefhalopathy something more that perinatal asphysia. Rev Fac Med Univ Nacional Colomb. 2007;55(2):126–134

4 

Chace DH, Kalas TA, Naylor EW. Use of tandem mass spectrometry for multianalyte screening of dried blood specimens from newborns. Clin Chem. 2003;49(11):1797–1817

5 

Therrell BL, Padilla CD, Loeber JG, Kneisser I, Saadallah A, Borrajo GJ. Current status of newborn screening worldwide 2015. Seminars Perinatol. 2015;39(3):171–187

6 

Millington DS, Roe CR, Maltby DA. Application of high resolution fast atom bombardment and constant B/E ratio linked scanning to the identification and analysis of acylcarnitines in metabolic disease. Biomed Mass Spectrom. 1984;11(5):236–241

7 

Millington DS, Norwood DL, Kodo N, Roe CR, Inouet F. Application of fast atom bombardment with tandem mass spectrometry and liquid chromatography/mass spectrometry to the analysis of acylcarnitines in human urine, blood, and tissue. Analyt Biochem. 1989;180(2):331–339

8 

Chace DH, Sherwin JE, Hillman SL, Lorey F, Cunningham GC. Use of phenylalanine-to-tyrosine ratio determined by tandem mass spectrometry to improve newborn screening for phenylketonuria of early discharge specimens collected in the first 24 hours. Clin Chem. 1998;44(12):2405–2409

9 

Jensen UG, Brandt NJ, Christensen E, Skovby F, Nørgaard-Pedersen B, Simonsen H. Neonatal screening for galactosemia by quantitative analysis of hexose monophosphates using tandem mass spectrometry a retrospective study. Clin Chem. 2001;47(8):1364–1372

10 

Chace DH, Lim T, Hansen CR, De Jesus VR, Hannon WH. Improved MS/MS analysis of succinylacetone extracted from dried blood spots when combined with amino acids and acylcarnitine butyl esters. Clin Chim Acta. 2009;407(1-2):6–9

11 

Dhillon KS, Bhandal AS, Aznar CP, Lorey FW, Neogi P. Improved tandem mass spectrometry (MS/MS) derivatized method for the detection of tyrosinemia type I, amino acids and acylcarnitine disorders using a single extraction process. Clin Chim Acta. 2011;412(11):873–879

12 

Raghuveer TS, Garg U, Graf WD. Inborn errors of metabolism in infancy and early childhood an update. Am Fam Physician. 2006;73(11):1981–1990

13 

Applegarth DA, Toone JR. Incidence of inborn errors of metabolism in British Columbia, 1969-1996. Pediatrics. 2000;105(1):e10–e1e

14 

Schulze A, Lindner M, Kohlmüller D, Olgemöller K, Mayatepek E, Hoffmann GF. Expanded newborn screening for inborn errors of metabolism by electrospray ionization-tandem mass spectrometry results, outcome, and implications. Pediatrics. 2003;111(6):1399–1406

15 

Couce ML, Castiñeiras DE, Bóveda MD, Baña A, Cocho JA, Iglesias AJ. Evaluation and long-term follow-up of infants with inborn errors of metabolism identified in an expanded screening programme. Mol Genet Metab. 2011;104(4):470–475

16 

Torres-Sepúlveda MdR.Martínez-de Villarreal LE.Esmer C.González-Alanís R.Ruiz-Herrera C.Sánchez-Peña A. Tamiz metabólico neonatal por espectrometría de masas en tándem dos años de experiencia en Nuevo León, México. Sal Públ Méx. 2008;50(3):200–206

17 

Borrajo GJ. Newborn screening in Latin America at the beginning of the 21st century. J Inherit Metab Dis. 2007;30(4):466–481

18 

De Céspedes C, Saborío M, Trejos R, Casco T. Prevención de retardo mental y otras discapacidades por tamizaje neonatal masivo en Costa Rica. Costa Rica: Asociación Costarricense para el Tamizaje y la Prevención de Discapacidades en el Niño (ASTA); 2003

19 

Rosselli D, Rueda JD, Ruiz-Patiño A. Análisis de costos de la tamización neonatal universal mediante espectrometría de masas en tándem para errores innatos del metabolismo en Colombia. Pediatría. 2014;47(03):68–73

20 

CLSI. Blood Collection on Filter Paper for Newborn Screening Programs; Approved Standard. Sixth Edition. CLSI document NBS01-A6. Wayne, PA: The Clinical and Laboratory Standards Institute; 2013

21 

U.S. Department of Health and Human Services, Food and Drug Administration; Center for Drug Evaluation and Research (CDER); Center for Veterinary Medicine (CVM). Guidance for Industry: Bioanalytical Method Validation. https://www.fda.gov/downloads/Drugs/Guidance/ucm070107.pdf2001

22 

Berry SA, Jurek AM, Anderson C, Bentler K. The inborn errors of metabolism information system a project of the Region 4 Genetics Collaborative Priority 2 Workgroup. Genetics Med. 2010;12:S215–S2S9

23 

DANE. Rendición de cuentas 2014-2015. Estadísticas vitales. 2015. https://www.dane.gov.co/files/rendicion_cuentas/Informe%20Rendicion%20de%20cuentas%202015.pdf

24 

CLSI. How to Define and Determine Reference Intervals in the Clinical Laboratory; Approved Guideline. Second Edition. NCCLS document C28-A2. Wayne, PA: The Clinical and Laboratory Standards Institute; 2000

25 

Chace DH, Hillman SL, Van Hove JL, Naylor EW. Rapid diagnosis of MCAD deficiency quantitative analysis of octanoylcarnitine and other acylcarnitines in newborn blood spots by tandem mass spectrometry. Clin Chem. 1997;43(11):2106–2113

26 

Chace DH, DiPerna JC, Mitchell BL, Sgroi B, Hofman LF, Naylor EW. Electrospray tandem mass spectrometry for analysis of acylcarnitines in dried postmortem blood specimens collected at autopsy from infants with unexplained cause of death. Clin Chem. 2001;47(7):1166–1182

27 

Cavedon CT, Bourdoux P, Mertens K, Van Thi HV, Herremans N, de Laet C. Age-related variations in acylcarnitine and free carnitine concentrations measured by tandem mass spectrometry. Clin Chem. 2005;51(4):745–752

28 

Gong ZH, Tian GL, Wang YM. Blood spot carnitine and acylcarnitine in newborn to adolescence: measured by tandem mass spectrometry. Zhonghua Er Ke Za Zhi. 2010;48(12):922–927

29 

CLSI. Newborn Screening by Tandem Mass Spectrometry; Approved Guideline. CLSI document NBS04. Wayne, PA.: The Clinical and Laboratory Standards Institute; 2010

30 

Wagner M, Tonoli D, Varesio E, Hopfgartner G. The use of mass spectrometry to analyze dried blood spots. Mass Spectrom Rev. 2016;35(3):361–438

31 

Golbahar J, Altayab DD, Carreon E. Short-term stability of amino acids and acylcarnitines in the dried blood spots used to screen newborns for metabolic disorders. J Med Screen. 2014;21(1):5–9

32 

Lawson AJ, Bernstone L, Hall SK. Newborn screening blood spot analysis in the UK influence of spot size, punch location and haematocrit. J Med Screen. 2016;23(1):7–16

33 

Holub M, Tuschl K, Ratschmann R, Strnadova KA, Muhl A, Heinze G. Influence of hematocrit and localisation of punch in dried blood spots on levels of amino acids and acylcarnitines measured by tandem mass spectrometry. Clin Chim Acta. 2006;373(1-2):27–31